Вы здесь
Клапаны управления давлением AGIR, AGIS, AGIU
Гидравлические клапаны AGIR, AGIS и AGIU представляют собой двухкаскадные клапаны управления давлением с отбалансированной тарелкой, предназначенные для работы в масляных гидравлических системах.
По функционалу клапаны различают:
- AGIR: редуцирование давления;
- AGIS: последовательность;
- AGIU: разгрузка.
В стандартной комплектации управляющее давление на тарелке (1) главного каскада (2) регулируется с помощью винта, который защищен колпачком (3) в корпусе (4). По запросу доступны версии с регулировочной рукояткой (5) вместо винта, где вращение по часовой стрелке увеличивает давление.
Клапаны разгрузки AGIU могут быть оснащены электромагнитным разгружающим клапаном (6), который может быть как нормально открытым, так и нормально закрытым. Дополнительные настройки могут осуществляться через отдельный управляющий канал.
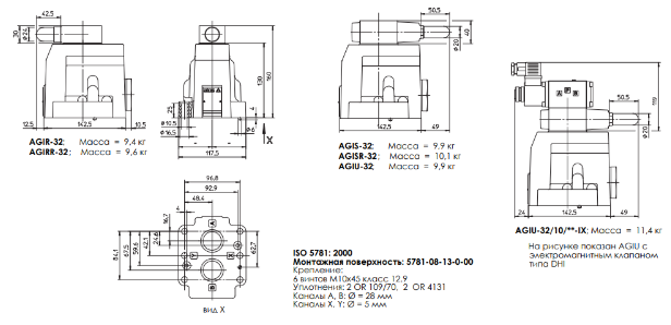
Монтажная поверхность: ISO 5781 размеры 10, 20 и 32.
Максимальный расход:
- для AGIR = 160, 300, 400 л/мин;
- для AGIS = 200, 400, 600 л/мин;
- для AGIU = 100, 200, 300 л/мин
- Давление до 350 бар
Габаритные размеры
AGIR-10, AGIS-10, AGIU-10
AGIR-20, AGIS-20, AGIU-20
AGIR-32, AGIS-32, AGIU-32
Технические характеристики AGIR, AGIS, AGIU
Монтажное положение/ориентация | Любое |
Параметры стыковочной поверхности | Шероховатость Ra 0.4, неплоскостность 0.01/100 (ISO 1101) |
Температура окружающей среды | от -20°C до + 70°C |
Рабочая жидкость | Гидравлическое масло по DIN 51524...535; по остальным жидкостям см. раздел [ 1 ] |
Рекомендуемая вязкость |
15÷100 сСт при 40ºС (ISO VG 15÷100) |
Класс чистоты рабочей жидкости | ISO 19/16, достигается при тонкости фильтрации 25 мкм при рекомендуемом показателе β ≥ 75) |
Температура рабочей жидкости | от -20ºС до +60ºС (стандартные и /WG уплотнения) от -20ºС до +80ºС (уплотнения /РЕ |
Характеристики катушек:
- класс изоляции: H;
- класс защиты разъема: IP65;
- коэффициент использования: 100%;
- погрешность напряжения питания: ± 10%.
Гидравлические характеристики AGIR, AGIS, AGIU
Модель клапана | AGIR-10 | AGIR-20 | AGIR-32 | AGIS-10 | AGIS-20 | AGIS-32 | AGIU-10 | AGIU-20 | AGIU-32 |
Максимальный расход (л/мин) | 160 | 300 | 400 | 200 | 400 | 600 | 100 | 200 | 300 |
Диапазон давлений (бар) | 4÷50 (AGIR*); 6÷100; 7÷210; 8÷350 |
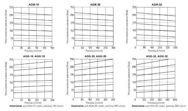
Графики зависимости регулируемого давления от расхода
Рабочие графики
- = AGIR-10 A → В
- = AGIR-20 A → В
- = AGIR-32 A → В
- = AGIR-10 B → А
- = AGIR-20 B → А
- = AGIR-32 B → А
- = AGIS-10
- = AGIS-20
- = AGIS-32
Графики открытия/закрытия для AGIU
- = AGIU-**/...(стандарт)
- = AGIU-**/.../5
- = AGIU-**/.../6
- = AGIU-**/.../7
Замечания
Короткие трубы с низким сопротивлением должны использоваться между клапаном разгрузки и аккумулятором;
Когда сопротивление велико, гидравлический управляющий сигнал должен быть взят как закрытый, насколько возможно для аккумулятора;
При высокопоточном насосе и маленьким перепадом давления на клапане, не рекомендуется использовать версию с внешним дренажом;
Когда используются плиты ВА-*25:
- а) в применениях с рабочими частотами > 10 Гц, применяйте плиты типа ВА-*25/4 (давление срабатывания пружины 4 бар);
- б) в применениях с рабочими частотами < 10 Гц, применяйте плиты типа ВА-*25/2 (давление срабатывания пружины 2 бар);
Электрические возможности для клапанов AGIU с электромагнитным клапаном
Тип электромагнита | Номинальное напряжение питания ± 10% (1) | Код | Тип раъёма | Мощность (3) | Код запасной катушки | Цвет ярлыка катушки | |
OI | DC | 6DC 12DC 24DC 48DC |
6 DC 12 DC 24 DC 48 DC |
SP-666 или SP-667 |
33 Вт | SP-COU-6DC /80 SP-COU-12DC /80 SP-COU-24DC /80 SP-COU-48DC /80 |
коричневый зеленый красный серебристый |
AC | 110/50 AC (2) 120/60 AC 230/50 AC (2) 230/60 AC |
110/50/60 AC 120/60 AC 230/50/60 AC 230/60 AC |
SP-666 или SP-667 |
60 ВА (5) | SP-COI-110/50/60AC /80 SP-COI-120/60AC /80 SP-COI-230/50/60AC /80 SP-COI-230/60AC /80 |
желтый белый голубой серебристый |
- По заказу возможны другие напряжения питания.
- Катушка может работать также при частоте 60 Гц; в этом случае характеристики снижаются на 10 ÷ 15% и потребляемая мощность составляет 55 ВА.
- Средние значения по данным испытаний в нормальных гидравлических условиях и температурой окружающей среды 20ºС.
- Ориентировочные показатели полученные при испытаниях в нормальных условиях при температуре окружающей среды и катушки 20°C.
- При включении электромагнита величина скачка тока в 3 раза превышает величину тока удержания. Это соответствует потребляемой мощности 150 ВА.
Условное обозначение AGIR, AGIS, AGIU
Монтажные плиты
Тип клапана | Модель плиты | Расположение каналов | Каналы | Диаметр каналов, мм | Масса, кг | ||||||
A | B | X-Y | Вых. | A | B | X-Y | Вых. | ||||
Клапан AGI*-10 | Плита BA-305 | Каналы A, B, Y снизу | G 1/2" | G 1/2" | G 1/4" | - | 30 | 30 | 21,5 | - | 1 |
Клапан AGI*-20 | Плита BA-505 | G 1" | G 1" | G 1/4" | - | 46 | 46 | 21,5 | - | 2 | |
Клапан AGI*-32 | Плита BA-705 | G 1 1/2" | G 1 1/2" | G 1/4" | - | 63,5 | 63,5 | 21,5 | - | 7,5 | |
Клапан AGIU-10 | Плита BA-325 (со встроенным обратным клапаном) | Каналы A, B, Y снизу | G 1/2" | G 3/4" | G 1/4" | G 1/2" | 30 | 36,5 | 21,5 | 30 | 5 |
Клапан AGIU-20 | Плита BA-425 (со встроенным обратным клапаном) | G 1" | G 1" | G 1/4" | G 1" | 46 | 46 | 21,5 | 46 | 6,5 | |
Клапан AGIU-32 | Плита BA-625 (со встроенным обратным клапаном) | G 1 1/2" | G 1 1/2" | G 1/4" | G 1 1/2" | 63,5 | 63,5 | 21,5 | 63,5 | 13 |